Indeks terminowy dla predefiniowanych terminów
Indeks terminowy dla predefiniowanego terminu jest wyliczany jako stopa procentowa na koniec zadanego okresu (z dołu) poprzez złożenie oprocentowania wynikającego z wysokości indeksu ON (reprezentowanego przez wybrany indeks) kalkulowanego przez Administratora dla poszczególnych dni zadanego okresu poprzedzającego dzień wyznaczenia i publikacji indeksu terminowego.
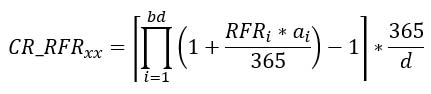
Algorytm kalkulacji składanej stopy procentowej dla predefiniowanego okresu XX

gdzie:
CR_RFRxx – składana stopa procentowa1 bazująca na indeksie RFR dla okresu XX (np. 1-miesięcznego), obliczana z dokładnością do 5 miejsc po przecinku2.
Zaokrąglenie będzie miało miejsce na końcu kalkulacji CR_RFR (por. poniżej).
RFRi – wartość wybranego indeksu transakcyjnego RFR na tenor ON dla i-tego dnia roboczego przypadającego w okresie odsetkowym XX, dla którego dokonywana jest kalkulacja CR; wartość RFR dla i-tego dnia roboczego jest ustalana i publikowana w kolejnym dniu roboczym.
ai – liczba dni kalendarzowych, dla których stosuje się stawkę RFRi. Przykładowo, stawka ustalona dla poniedziałku obowiązuje przez jeden dzień - do wtorku (o ile wtorek jest dniem roboczym), stawka ustalona dla piątku obowiązuje przez 3 dni – do poniedziałku.
bd – liczba dni roboczych przypadających w okresie odsetkowym XX, dla którego dokonywana jest kalkulacja, włączając pierwszy dzień okresu i wyłączając ostatni dzień okresu gdzie XX przyjmuje wartość 1M, 3M oraz 6M.
d – liczba dni kalendarzowych w okresie odsetkowym XX, dla którego dokonywana jest kalkulacja, włączając pierwszy dzień okresu i wyłączając ostatni dzień okresu.
Reguła wyznaczania okresu odsetkowego
Ostatnim dniem okresu odsetkowego (data końcowa) jest zawsze dzień kalkulacji składanej stopy procentowej – musi to być dzień roboczy.
Pierwszym dniem okresu odsetkowego (data startowa) jest dzień roboczy przypadający określoną liczbę miesięcy (1M, 3M lub 6M) przed dniem kalkulacji. Jest on wyznaczany zgodnie z konwencją „modified preceding” opisaną zgodnie z poniższą zasadą:
Jeżeli potencjalna data startowa wynikająca z kalendarzowego przesunięcia danej daty końcowej o określoną ilość miesięcy wstecz (tj. przesunięcie n-tego dnia danego miesiąca o 1 miesiąc wstecz daje n-ty dzień poprzedniego miesiąca) wypadłaby w dniu nieroboczym lub nieistniejącym (np. 30 lutego), wtedy na datę startową należy wybrać najbliższy poprzedzający tę potencjalną datę startową dzień roboczy, chyba że wypada on już w poprzednim miesiącu - w takim przypadku należy wybrać najbliższy dzień roboczy następujący po potencjalnej dacie startowej. Jeżeli zaś potencjalna data startowa jest dniem roboczym, należy ją wybrać na datę startową.
Indeks jednopodstawowy – Compound Index CI
Za indeks jednopodstawowy uważa się indeks wyrażony w punktach indeksowych. Indeks jednopodstawowy (Compound Indeks - CI) reprezentuje wartość inwestycji o Wartości Startowej CI0 odnawiającej się każdego Dnia Kalkulacji CI (z kapitalizacją odsetek) począwszy od Dnia Startowego zgodnie ze stopą zwrotu równą wartości Indeksu RFR, gdzie:
– Dzień Startowy – dzień początku kalkulacji indeksu jednopodstawowego, który jest ustalony w regulaminie odpowiedniego indeksu,
– Wartość Startowa (CI0)- wartość indeksu jednopodstawowego w Dniu Startowym, czyli liczba będąca elementem jego metody, która została ustalona na poziomie 100;
– Indeks RFR – wybrany indeks ON,
– Dzień Wskaźnika – dzień, do którego odnosi się dany indeks RFR (dzień zawarcia transakcji ON, na których oparta jest kalkulacja indeksu)
– Dzień Kalkulacji CI – dzień indeksu jednopodstawowego3, w którym obliczany jest ten indeks, czyli każdy dzień roboczy począwszy od Dnia Startowego (w każdy kolejny Dzień Kalkulacji CI obliczana jest wartość indeksu jednopodstawowego z uwzględnieniem ostatniej dostępnej wartości indeksu RFR zgodnie z jego metodą).
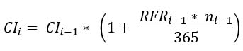
Indeks jednopodstawowy, czyli indeks CI obliczany jest na podstawie wzoru:

gdzie:
CIi – wartość indeksu jednopodstawowego (wyrażona w punktach indeksowych) dla Dnia Kalkulacji CI i, kalkulowana w Dniu Kalkulacji CI i i publikowana z dokładnością do 8 miejsc po przecinku (w kalkulacji wartości CIi używana jest niezaokrąglona wartość CIi-1),
RFRi-1 – wartość Indeksu RFR4 dla Dnia Wskaźnika z dnia i-1, czyli dnia roboczego poprzedzającego Dzień Kalkulacji i zgodnie z metodą indeksów RFR,
ni-1 – liczba dni kalendarzowych między Dniem Kalkulacji CI i-1 a Dniem Kalkulacji CI i (np. gdy Dzień Kalkulacji CI i-1 to piątek a Dzień Kalkulacji CI i to poniedziałek, to wtedy ni-1 = 3)
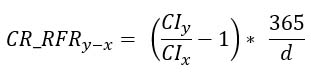
Wykorzystanie indeksu CI do kalkulacji wartości oprocentowania w określonym okresie jest możliwe poprzez zastosowanie poniższego wzoru, zgodnie z którym obliczana jest zmiana wartości Indeksu CI pomiędzy datami x i y, zgodnie ze wzorem:

gdzie:
x – data początku okresu odsetkowego
y – data końca okresu odsetkowego
CR_RFRy-x – składana (compound) stopa procentowa na okresie od daty x do daty y
CIx – wartość indeksu jednopodstawowego (wyrażona w punktach indeksowych) dla Dnia Kalkulacji CI x
d – liczba dni kalendarzowych od daty x do daty y
Zasady zaokrągleń i publikacji indeksów
W celu uniknięcia wątpliwości, przyjęte zasady precyzji zaokrągleń i publikacji indeksów zostały ustalone jak poniżej:
(1) indeksy ON kalkulowane i prezentowane są z precyzją do 3 miejsc po przecinku5
(2) indeksy dla predefiniowanych terminów kalkulowane i publikowane są z precyzją do 5 miejsc po przecinku6
(3) indeks jednopodstawowy wyrażony w punktach indeksowych będzie kalkulowany z precyzją do 8 miejsc po przecinku z wartością startową na poziomie 100, podczas gdy datą startową indeksu jest data ustalona w regulaminie odpowiedniego indeksu.
Zasady Metody Indeksów Składanych w przypadku niewyznaczenia indeksu RFR
Jeżeli dochodzi do niewyznaczenia RFR dla danego Dnia Roboczego, w celu wyznaczenia RFR Indeksu Jednopodstawowego za wartość RFR dla Dnia Roboczego, dla którego doszło do niewyznaczenia RFR, przyjmuje się ostatnią wyznaczoną wartość RFR dla Daty Wskaźnika RFR poprzedzającej Dzień Roboczy, dla którego doszło do niewyznaczenia RFR. W poniższym przykładzie indeks RFR nie został wyznaczony dla Daty Wskaźnika 08.07.2025, co oznacza, że nie doszło do wyznaczenia i udostępnienia indeksu RFR w dniu 09.07.2025, a tym samym nie doszło do wyznaczenia RFR Indeksu Jednopodstawowego i udostępnienia jego wartości w dniu 09.07.2025 za ten dzień. Kolejnego dnia w sytuacji, w której czynniki, które nie pozwoliły na wyznaczenie i udostępnienie wartości w dniu 09.07.2025 ustąpiły i może dojść do wyznaczenia i udostępnienia wartości RFR oraz RFR Indeksu Jednopodstawowego w dniu 10.07.2025, to indeks składany wyznacza się przy założeniu, że w miejsce niewyznaczonej wartości w dniu 09.07.2025 za Datę Wskaźnika 08.07.2025, wykorzystuje się wartość RFR, która jest ostatnią wyznaczoną i udostępnioną, czyli wartość udostępnioną w dniu 08.07.2025 za Datę Wskaźnika przypadającą w dniu 07.07.2025. Przedstawiony przykład został ograniczony do kilku wybranych Dat Wskaźnika i obrazuje niewyznaczenie wartości RFR Indeksu Jednopodstawowego występujące pojedynczego dnia, natomiast nie musi być to zdarzenie jednorazowe, a okresy braku wyznaczenia i udostępnienia mogą wystąpić wielokrotnie.
Aby wyznaczyć wartość RFR Indeks Jednopodstawowy w podanym przykładzie za dzień 10.07.2025 (po ustąpieniu czynników, które nie pozwoliły na wyznaczenie i udostępnienie wartości w dniu 09.07.2025), przyjmuje się dla dnia 09.07.2025, kiedy nie doszło do wyznaczenia i udostępnienia wartości RFR dla Daty Wskaźnika 08.07.2025, wartość udostępnioną 08.07.2025 dla Daty Wskaźnika 07.07.2025:

gdzie:
CIdd.mm.yyyy – wartość RFR Indeks Jednopodstawowy dla Daty Wskaźnika RFR Indeks Jednopodstawowy dd.mm.yyyy,
RFRdd.mm.yyyy – wartość RFR dla Daty Wskaźnika dd.mm.yyyy.
Rysunek 1. RFR Indeks Jednopodstawowy

Na rys.1 przedstawiono graficznie działanie metody RFR Indeksu Jednopodstawowego w odniesieniu do procedury postępowania, która po ustaniu warunków, w których dochodzi do niewyznaczenia odpowiedniego indeksu RFR oraz w związku z niewyznaczeniem RFR Indeksu Jednopodstawowego, określa zasady przywrócenia procesu wyznaczania wartości RFR Indeksu Jednopodstawowego.
Jeżeli dochodzi do niewyznaczenia RFR dla danego Dnia Roboczego zawierającego się w Okresie Referencyjnym RFR Stopy Składanej (z wyłączeniem daty końca Okresu Referencyjnego), w celu wyznaczenia RFR Stopy Składanej za wartość RFR dla Dnia Roboczego, dla którego doszło do niewyznaczenia RFR, przyjmuje się ostatnią wyznaczoną wartość RFR dla Daty Wskaźnika RFR poprzedzającej Dzień Roboczy, dla którego doszło do niewyznaczenia RFR. W poniższym przykładzie indeks RFR nie został wyznaczony dla Daty Wskaźnika 08.07.2025, co oznacza, że nie doszło do wyznaczenia i udostępnienia indeksu RFR w dniu 09.07.2025, a tym samym nie doszło do wyznaczenia i udostępnienia RFR Stopa Składana 1M w dniu 09.07.2025 za ten dzień (dla przykładu rozpatruje się RFR Stopa Składana 1M). Kolejnego dnia w sytuacji, w której czynniki, które nie pozwoliły na wyznaczenie i udostępnienie wartości w dniu 09.07.2025, ustąpiły i może dojść do wyznaczenia i udostępnienia wartości RFR Stopa Składana 1M w dniu 10.07.2025, to RFR Stopa Składana 1M wyznacza się przy założeniu, że w miejsce niewyznaczonej wartości w dniu 09.07.2025 dla Daty Wskaźnika 08.07.2025, wykorzystuje się wartość RFR, która jest ostatnią wyznaczoną i udostępnioną, czyli wartość udostępnioną w dniu 08.07.2025 dla Daty Wskaźnika przypadającą w dniu 07.07.2025. Przedstawiony przykład został ograniczony do kilku wybranych Dat Wskaźnika i obrazuje niewyznaczenie wartości RFR Stopa Składana 1M dla pojedynczego dnia, natomiast nie musi być to zdarzenie jednorazowe, a okresy braku wyznaczenia i udostępnienia mogą wystąpić wielokrotnie.
Aby wyznaczyć wartość RFR Stopa Składana 1M w podanym przykładzie za dzień 10.07.2025 (po ustąpieniu czynników, które nie pozwoliły na wyznaczenie i udostępnienie wartości w dniu 09.07.2025), przyjmuje się dla dnia 09.07.2025, kiedy to nie doszło do wyznaczenia i udostępnienia wartości RFR dla Daty Wskaźnika 08.07.2025, wartość udostępnioną 08.07.2025 dla Daty Wskaźnika 07.07.2025:

gdzie:
CR1M,dd.mm.yyyy – wartość RFR Indeks Jednopodstawowy dla Daty Wskaźnika RFR Indeks Jednopodstawowy dd.mm.yyyy,
RFRdd.mm.yyyy – wartość RFR dla Daty Wskaźnika dd.mm.yyyy.
Rysunek 2. RFR Stopa Składana 1M

Na rys.2 przedstawiono graficznie działanie metody RFR Stóp Składanych w odniesieniu do procedury postępowania, która po ustaniu warunków, w których nie dochodzi do niewyznaczenia odpowiedniego indeksu RFR oraz w związku z niewyznaczeniem RFR Stopa Składana, określa zasady przywrócenia procesu wyznaczania RFR Stopa Składana.
1 Indeksy CR_RFR oraz RFR są stopami procentowymi, czyli np. indeks CR_RFR może być równy 5,12345%, co oznacza liczbę 0,0512345 a indeks RFR może być równy 5,123%, co oznacza liczbę 0,05123.
2 Zaokrąglenie dotyczy wartości stopy wyrażonej w %, a więc przykładem stopy procentowej zaokrąglonej do 5 miejsc po przecinku jest 5,12345%.
3 Na stronie internetowej administratora dzień wskaźnika jednopodstawowego – ten dzień jest tożsamy z dniem jego publikacji i kalkulacji.
4 Indeks RFR jest stopą procentową, czyli np. indeks RFR może być równy 5,123%, co oznacza liczbę 0,05123.
5 Zaokrąglenie dotyczy wartości stopy wyrażonej w %, a więc przykładem stopy procentowej zaokrąglonej do 3 miejsc po przecinku jest 5,123%.
6 Zaokrąglenie dotyczy wartości stopy wyrażonej w %, a więc przykładem stopy procentowej zaokrąglonej do 5 miejsc po przecinku jest 5,12345%.



